Breadcrumbs

inverse_pose(posx1)

기능

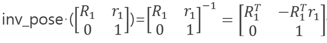
posx의 inverse에 해당하는 posx 값을 리턴합니다.


image2021-11-4_10-32-49.png

인수

인수명

자료형

기본값

설명

posx1

posx

list (float[6])

-

posx 또는

position list [mm, deg]

리턴

설명

posx

[mm, deg]

예외

예외

설명

DR_Error (DR_ERROR_TYPE)

인수들의 데이터형 오류 시

예제

Python
posx1 = [100, 20, 300, 90, 0, 180]

inv_posx = inverse_pose(posx1)