Breadcrumbs

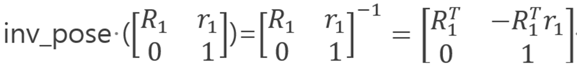
inverse_pose(posx1)

Feature

This function returns the posx value that represents the inverse of posx.


image2021-11-4_10-32-49.png

Parameter

Parameter Name

Data Type

Default Value

Description

posx1

posx

list (float[6])

-

posx or

position list [mm, deg]

Return

Value

Description

posx

[mm, deg]

Exception

Exception

Description

DR_Error (DR_ERROR_TYPE)

Parameter data type error occurred

Example

Python
posx1 = [100, 20, 300, 90, 0, 180]
inv_posx = inverse_pose(posx1)